Ликвидация наступает в том случае, если уровень маржи опускается до минимальной маржи, а трейдеру приходится закрывать позицию, одновременно лишаясь всей маржи для поддержания позиции. Данная процедура запускается при достижении цены по рынку уровня цены ликвидации. В компании Bybit минимально допустимая ставка минимальной маржи по бессрочным контрактам составляет 0,5% для ВТС и 1% для ETH, EOS и XRP. Повышение или снижение требований маржи происходит соразмерно изменениям в лимите риска.
Цена ликвидации рассчитывается на базе выбранного трейдером кредитного плеча, минимальной маржи и цены входа.
Расчет цены ликвидации
Режим изолированной маржи:
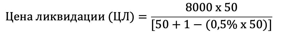
Длинная позиция на покупку
Например: Трейдер "А" открывает длинную позицию на покупку по цене 8000 долл. США с 50-кратным кредитным плечом.

Цена ликвидации (ЦЛ) ≈ 7882 долл. США
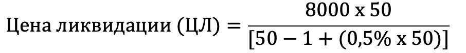
Короткая позиция на продажу:

Например: Трейдер "В" открывает короткую позицию на продажу по цене 8000 долл. США с 50-кратным кредитным плечом.

Цена ликвидации (ЦЛ) ≈ 8121,50 долл. США
Режим кросс-маржи:
Длинная позиция на покупку:

Короткая позиция на продажу:

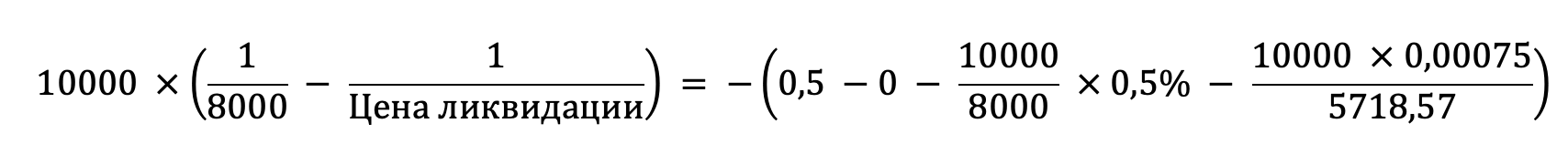
Например: Трейдер "В" с балансом счета в размере 0,5 ВТС открывает длинную позицию на покупку 10000 контрактов по цене 8000 долл. США с использованием кросс-маржи. Предположим, в данный момент других активных ордеров нет.


Цена ликвидации = 5739,50
Для получения более подробной информации о Цена банкротства, пожалуйста, нажмите здесь.
*Важно: При длинной позиции цена ликвидации будет округляться в сторону увеличения до самого ближайшего десятичного знака (0,5) либо целого числа; при короткой позиции цена ликвидации будет округляться в сторону уменьшения до самого ближайшего десятичного знака (0,5) либо целого числа.
